一维与二维体系的静态极化率(数值计算)
极化率计算公式为
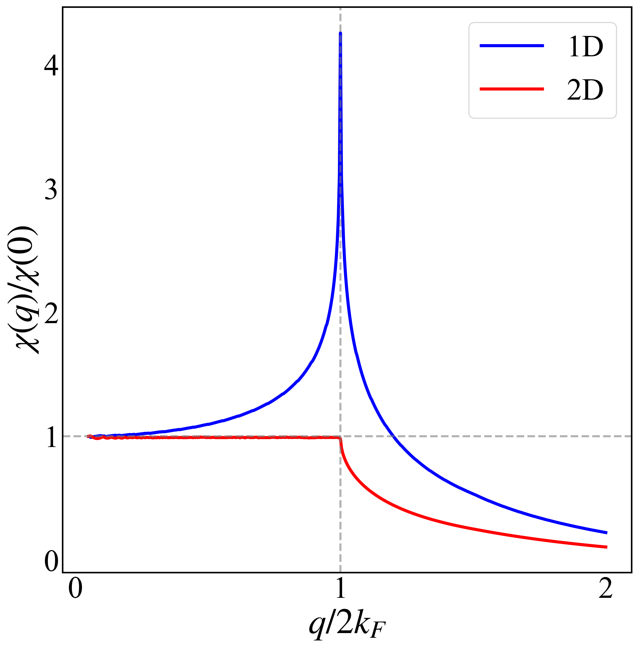
这里对一维和二维自由电子模型计算极化率,使用连续模型进行计算, 目的是为了方便与解析上的分析对应。
- 计算程序
1 | using Distributed |
- 绘图程序
1
2
3
4
5
6
7
8
9
10
11
12
13
14
15
16
17
18
19
20
21
22
23
24
25
26
27
28
29
30
31
32
33
34
35
36
37
38
39
40
41
42
43
44
45
46
47
48
49
50
51
52
53
54
55
56
57
58
59
60
61
62
63
64
65
66
67
68
69
70
71
72
73
74
75import numpy as np
import matplotlib.pyplot as plt
from matplotlib import rcParams
import os
# 1. Latex 字体与全局样式设置
plt.rc('font', family='Times New Roman')
config = {
"font.size": 22,
"mathtext.fontset": 'stix',
"axes.unicode_minus": False
}
rcParams.update(config)
#------------------------------------------------------------------------------------
def plot_polarization(dat_file):
"""
整合 plotfs 风格与极化率特有的图例、辅助线标记
"""
if not os.path.exists(dat_file):
print(f"Error: File '{dat_file}' not found.")
return
# 1. 加载数据
data = np.loadtxt(dat_file)
x0 = data[:, 0] / 2.0 # 归一化 q/2kF
pi_1d = data[:, 1]
pi_2d = data[:, 2]
# 2. 创建画布 (参照 plotfs 10x10 比例)
plt.figure(figsize=(10, 10))
# 3. 绘图:保留颜色对比与图例标签
plt.plot(x0, pi_1d, lw=3, c="b", label="1D")
plt.plot(x0, pi_2d, lw=3, c="r", label="2D")
# 4. 保留物理标记:q=2kF (即 x=1.0) 的辅助虚线
plt.axvline(x=1.0, color='gray', linestyle='--', lw=2, alpha=0.6)
# 5. 字体与字号设置 (参照 plotfs)
font2 = {'family': 'Times New Roman',
'weight': 'normal',
'size': 35,
}
plt.xlabel(r"$q/2k_F$", font2)
plt.ylabel(r"$\chi(q)/\chi(0)$", font2)
# 6. 保留图例 (参照 plotfs 注释掉的 legend 逻辑并启用)
# 使用 markerscale=2 保证图例线段足够明显
plt.legend(loc='best', prop={'family': 'Times New Roman', 'size': 30})
# 7. 刻度参数设置 (完全参照 plotfs)
plt.tick_params(direction='in', axis='x', width=0, length=10, labelsize=30)
plt.tick_params(direction='in', axis='y', width=0, length=10, labelsize=30)
# 8. 边框加粗 (完全参照 plotfs)
ax = plt.gca()
ax.spines["bottom"].set_linewidth(1.5)
ax.spines["left"].set_linewidth(1.5)
ax.spines["right"].set_linewidth(1.5)
ax.spines["top"].set_linewidth(1.5)
# 9. 限制坐标刻度数量 (这是你要求的关键修改方式)
ax.locator_params(axis='x', nbins=3)
ax.locator_params(axis='y', nbins=5)
# 3. 辅助线
ax.axhline(y=1.0, color='gray', linestyle='--', linewidth=2, alpha=0.6)
# 10. 保存
picname = os.path.splitext(dat_file)[0] + ".png"
plt.savefig(picname, dpi=300, bbox_inches='tight')
plt.close()
#---------------------------------------------------------------------
if __name__ == "__main__":
plot_polarization("lindhard_continuous.dat")
鉴于该网站分享的大都是学习笔记,作者水平有限,若发现有问题可以发邮件给我
- yxliphy@gmail.com
也非常欢迎喜欢分享的小伙伴投稿
本博客所有文章除特别声明外,均采用 CC BY-NC-SA 4.0 许可协议。转载请注明来源 Yu-Xuan's Blog!
评论










